在当今电子设备日益小型化、高效化的趋势下,电源管理芯片的设计也面临着更高的要求。LP3717BSL 作为一款极简化的自供电原边反馈控制芯片,以其高度集成、外围设计简单、多种?;すδ艿忍氐?,为适配器、充电器以及其他辅助电源的设计提供了一种高效、可靠的解决方案。

LP3717BSL 是一款专为隔离型适配器和充电器设计的自供电 PSR(原边反?。┛刂菩酒?。该芯片通过外置电阻可调原边峰值电流,并利用变压器原副边匝比来设置输出恒流点。通过设定反馈引脚(FB)上的偏电阻,可以灵活地设置输出恒压点。为了进一步简化系统成本,LP3717BSL 内置了启动电路,无需外部启动电阻,并采用自供电技术取消了辅助绕组 VCC 供电二极管。此外,该芯片还内置了输出线缆补偿功能,能够有效补偿输出电流在输出线上的损耗压降,从而提高输出电压的稳定性。

图 1 展示了 LP3717BSL 的典型应用电路。在该电路中,芯片通过变压器与输入电源相连,通过反馈引脚(FB)与输出端相连,形成一个闭环控制系统。通过合理选择外接电阻的值,可以实现对输出电压和电流的精确控制。该电路简单、高效,能够满足大多数应用场景的需求。
LP3717BSL 的电气参数如下表所示:
参数 | 符号 | 最小值 | 典型值 | 最大值 | 单位 |
|---|---|---|---|---|---|
| VCC 启动电压 | VCC_ST | 4.5 | - | - | V |
| VCC 钳位电压 | VCC_CLAMP | - | 5.1 | - | V |
| VCC 欠压?;ゃ兄?/td> | VCC_UVLO | 3.1 | - | - | V |
| VCC 启动电流 | IST | - | 1 | - | uA |
| VCC 工作电流 | ICC1 | - | 300 | - | uA |
| VCC 待机电流 | ICC2 | - | 60 | - | uA |
| 最大峰值电流阈值(SEL 脚悬空) | IPKMAX_SELNC | - | 880 | - | mA |
| 最小峰值电流阈值 | IPKMIN | - | 0.4*IPKMAX | - | mA |
| 前沿消隐时间 | TLEB | - | 450 | - | ns |
| 副边电流退磁比例 | RTDEM | - | 50 | - | % |
| FB 反馈基准电压 | VFB | 0.95 | 1.00 | 1.05 | V |
| 系统推荐最大频率 | FSWMAX | - | 60 | - | KHz |
| 芯片最小工作频率 | FSWMIN | 200 | - | - | Hz |
| 抖频周期 | Tjitter | - | 180 | - | us |
| 线缆补偿电流 | ICOMP_LINE | - | 12 | - | uA |
| 输出短路?;ゃ兄?/td> | VFB_HICCUP | - | 0.5 | - | V |
| FB 过压?;さ缪?/td> | VFB_OVP | 1.35 | 1.40 | 1.45 | V |
| 启机输入欠压?;ゃ兄?/td> | VFB_VINUVP(启机) | -0.65 | - | - | V |
| 正常工作输入欠压?;ゃ兄?/td> | VFB_VINUVP(正常工作) | -0.40 | - | - | V |
| 过热?;の露?/td> | TSD | - | 150 | - | ℃ |
| 过温保护迟滞 | THYS | - | 30 | - | ℃ |
| C、B 电压 | VCBO | - | 750 | - | V |
| 集电极应用电流 | ICESAT | - | 800 | - | mA |
这些参数确保了 LP3717BSL 在各种工作条件下的稳定性和可靠性,能够满足不同应用场景的需求。
下图展示了 LP3717BSL 的内部结构框图。芯片内部集成了多种功能模块,包括启动电路、峰值电流设置??椤⒑懔骺刂颇??、恒压控制???、?;すδ苣?榈?。这些模块协同工作,实现了对电源系统的精确控制和全面保护。

芯片启动时,仅需 1uA 的启动电流,通过内部启动电路给 Vcc 电容充电,当 Vcc 电压达到芯片开启阈值时,芯片内部控制电路开始工作。系统启动后,Vcc 由内部专有的供电电路进行供电。
SEL 脚外接电阻 RSEL 可以调节最大峰值电流 IPKMAX。当 SEL 脚悬空时,IPKMAX 为 IPKMAX_SELNC(880mA)。通过公式 IPKMAX=RSEL×1212×IPKMAX_SELNC 可以计算出不同 RSEL 值对应的 IPKMAX 值,建议 RSEL > 15K。
芯片逐周期检测电感的峰值电流,当原边电感中的实时电流大于芯片设定的最大峰值电流 IPKMAX 时,功率管关断。输出电流 IOUT 与变压器的匝比、峰值电流、开关周期等因素有关。通过合理选择变压器的匝比和峰值电流,可以实现恒流输出。
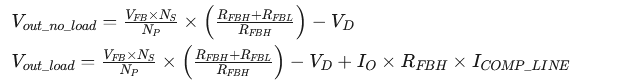
LP3717BSL 通过电阻采样反激电压,电阻分压后的电压与内部基准比较形成闭环,从而恒定输出电压 Vout。轻载输出电压和满载输出电压的计算公式分别为:
其中,RFBH 是 FB 外接的上偏电阻,RFBL 是 FB 外接的下偏电阻,ICOMP_LINE 是满载经过 FB 上偏电阻的输出线补偿电流,Nf 是辅助绕组匝数,VFB 是基准电压(典型值 1.0V),VD 为输出续流管压降,IO 为带载电流,IOCP 为输出恒流电流。
LP3717BSL 集成了多种保护功能,包括:
在设计 LP3717BSL 的 PCB 时,需要遵循以下指南:
LP3717BSL 采用 SOP8L 封装,封装尺寸如下表所示:
| 符号 | 尺寸范围(毫米) |
|---|---|
| A | 1.35 - 1.75 |
| A1 | 0.05 - 0.25 |
| A2 | 1.30 - 1.50 |
| b | 0.30 - 0.51 |
| c | 0.10 - 0.25 |
| D | 4.70 - 5.10 |
| E | 3.80 - 4.05 |
| E1 | 5.80 - 6.20 |
| e | 1.27BSC |
| L | 0.40 - 1.27 |
| θ | 0o - 8o |
这种封装形式具有良好的散热性能和较小的尺寸,适合用于紧凑型电源设计。